おかげさまで開設25周年BLOG.WORKFLY.PK 創業祭

BLOG.WORKFLY.PK

詳しくはこちら
マイストア マイストア 変更
  • 即日配送
  • 広告
  • 取置可能
  • 店頭受取

HOT ! 6P3S (6L6) シングル真空管アンプ

※BLOG.WORKFLY.PK 限定モデル
YouTuberの皆様に商品の使い心地などをご紹介いただいております!
紹介動画はこちら

ネット販売
価格(税込)

10440

  • コメリカード番号登録、コメリカードでお支払いで
    コメリポイント : 6ポイント獲得

コメリポイントについて

購入個数を減らす
購入個数を増やす

お店で受け取る お店で受け取る
(送料無料)

受け取り店舗:

お店を選ぶ

近くの店舗を確認する

納期目安:

13時までに注文→17時までにご用意

17時までに注文→翌朝までにご用意

受け取り方法・送料について

カートに入れる

配送する 配送する

納期目安:

2026.03.19 21:9頃のお届け予定です。

決済方法が、クレジット、代金引換の場合に限ります。その他の決済方法の場合はこちらをご確認ください。

※土・日・祝日の注文の場合や在庫状況によって、商品のお届けにお時間をいただく場合がございます。

即日出荷条件について

受け取り方法・送料について

カートに入れる

欲しいものリストに追加

欲しいものリストに追加されました

6P3S (6L6) シングル真空管アンプの詳細情報

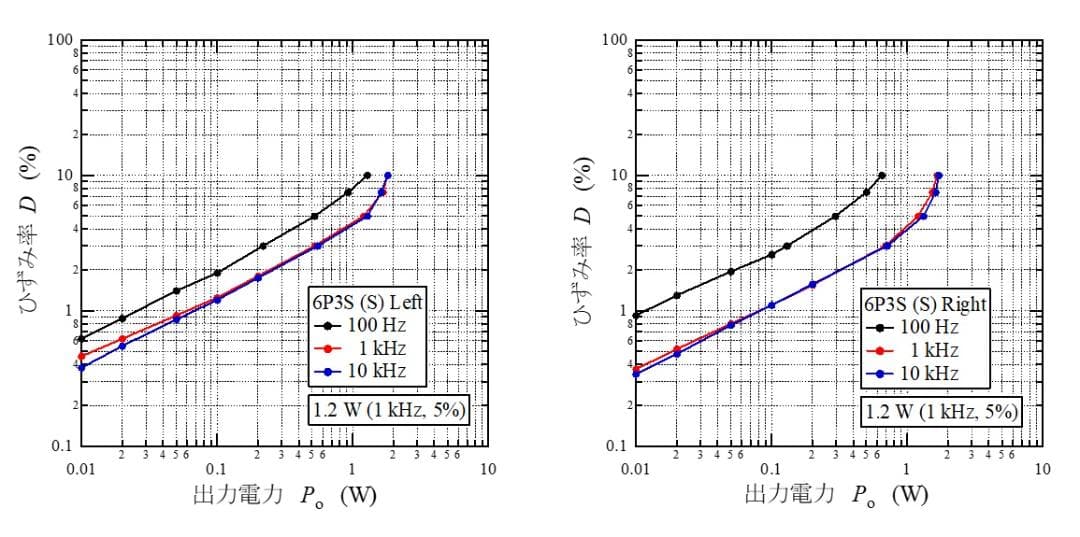
新たに設計、製作しました6P3S (6L6) シングル真空管アンプです。*ゴン太*。真空管:6P3S 2本、6N2P 2本は、全て付属します。や*ん様 SANSUI インテグレーテッドアンプ AU-D607FE 動作確認済。出力トランスは、PMF-3WS-7k(ゼネラルトランス)、電源トランスはPMC-55F(ゼネラルトランス)、チョークコイルはPMC-505H(ゼネラルトランス)です。Panasonic スピーカーSB-PMX100 アンプ SA-PMX100。シャーシーの寸法は、250 mm(幅)x 150 mm(奥行)x 60 mm(高さ)(底板有り)です。ローランド SOUND Canvas SC-88 Pro 音源モジュール。重量は2.8 kgです。Victor  AX-F3アンプ。私が製作および測定の全てを行っています。BOSE RA-15 ステレオレシーバー アンプ。各種特性測定、試聴のため、20時間程度動作させています。ONKYOオンキョー アンプ Integra A-924 リモコン付。6P3S (6L6)アンプの特性は、以下の通りです。アンプ sansui AU-7700。(1) 周波数特性:22 Hz-61 kHz (-3 dB) (NFB 5.0 dB) 、(2)出力電力:1.2 W (ひずみ率5%, 1 kHz)(入力電圧:800 mV)、(3) ダンピングファクタ-:3.0~3.4 (50 Hz-35 kHz)、(4) クロストーク:-78 dB以下 (50 Hz-20 kHz)、(5) 残留雑音:左ch:0.18 mV、右ch:0.10 mV。【新年価格】《完動品》テクニクスチューナST-8044 SU-8044 セット。アンプの回路図および測定した各種特性図は、真空管アンプと一緒にお送りします。Collins真空管式トランシーバーKWM-2 動作確認済・マイクロホン、電源付。

同じカテゴリの 商品を探す

ベストセラーランキングです

このカテゴリをもっと見る

この商品を見た人はこんな商品も見ています

近くの売り場の商品

このカテゴリをもっと見る

カスタマーレビュー

オススメ度  4.6点

現在、3616件のレビューが投稿されています。